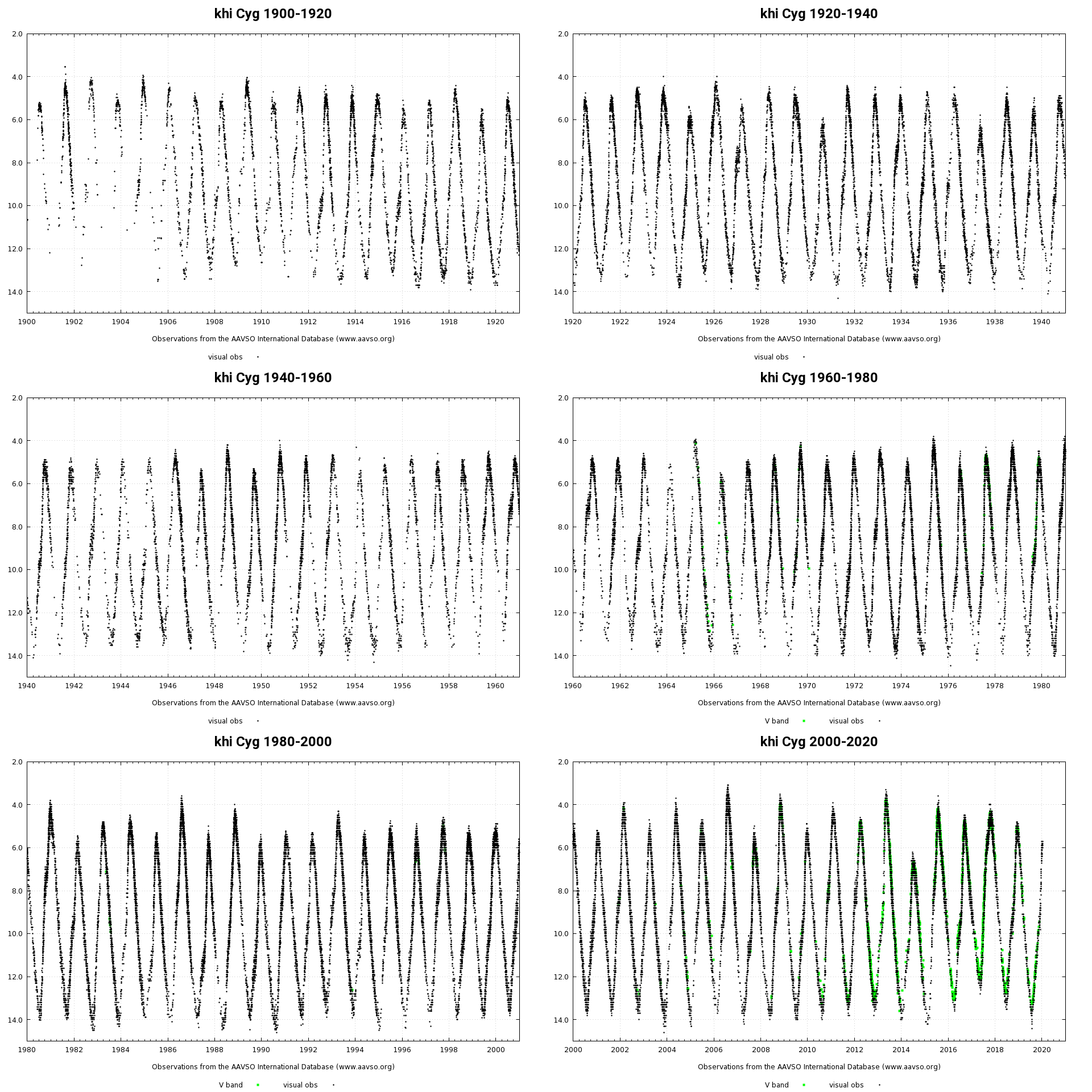
Det tror jag också, Hans. Det är kanske inte ovanligt att khi Cyg har maxima under mag 5. På sistone verkar vi ha en över och en under lite vartannat år!Hans Bengtsson wrote:Det tycks som om Chi Cyg redan nu nått sin maxnivå, ungefär 5.8 visuellt. Det innebär i så fall att årets max är det ljussvagaste sedan det rätt exceptionella maximet sommaren 2014, då stjärnan bara orkade upp till ca 6.7.
Intressant att svaga maxima som 2014 inträffade också 1931 och 1937. De kanske är inte så jätteovanliga heller när man tänker på tidsskalan i stjärnans utveckling.
